In most situations of everyday life, the numerical computation systems we use are amply sufficient for accuracy. But when scientists need to perform complex simulations and calculations, numerical precision is of paramount importance. However, in a new study, researchers have found that complex computational calculations can be biased up to 15% due to a pathological inability to grasp the true mathematical complexity of chaotic dynamical systems.
"Our work shows that the behavior of chaotic dynamic systems is richer than any digital computer can capture, " says computer scientist Peter Coveney of UCL in the UK. " Chaos is more commonplace than many people think and even for very simple chaotic systems, the numbers used by digital computers can cause errors that are not obvious but can have a significant impact."
For centuries theorists have been considering how very small upstream effects can accumulate to become very important downstream. In chaos theory, the phenomenon is known as the butterfly effect: metaphorically, the hypothetical notion that the infinitely small flapping of a butterfly's wings in one place could help to generate a tornado to another. The results of the study were published in the journal Advanced Theory and Simulations .
Mathematical chaos: the extreme importance of initial conditions
It is a poetic concept, but although it may seem fanciful, mathematical modeling suggests that the notion is rooted in very measurable terms. The butterfly effect is mainly attributed to the American mathematician and meteorologist Edward Norton Lorenz, who, in the 1960s, by repeating a weather simulation, used a mathematical shortcut that will shape the story: he used slightly simplified numbers for the second experiment (0.506 instead of 0.506127)." I went for a cup of coffee in the hallway and came home after about an hour, during which time the computer simulated about two months of weather. The figures being printed did not look like the old ones, "says Lorenz.
Lorenz's results showed how small changes in initial conditions can produce large changes over time in complex and chaotic systems, in which many variables affect and influence each other.
Chaos and complex calculations: the snowball effect of imprecision errors
Weather forecasting is one example, but the same phenomenon of snowball errors has since been highlighted in many areas, from modeling orbital trajectories to turbulence and molecular dynamics. The fact is, even though the butterfly effect has been known for decades, it remains a fundamental problem in the way computers perform calculations." Extreme sensitivity to initial conditions is a defining characteristic of chaotic dynamical systems. Since the first use of numerical calculators for computer science, it is known that the loss of precision due to the discrete approximation of real numbers can significantly alter the dynamics of chaotic systems after a short simulation period, "explain the researchers.
This loss of precision does not occur in simple calculations. The calculator app on your smartphone is probably perfectly adequate for everything you need in everyday life. But in complex calculations with many variables and starting conditions, small rounding errors at the beginning can lead to huge calculation errors at the end of a given simulation.
The problem of using floating point
The researchers explain that the heart of the problem is so-called floating-point arithmetic: the standardized way of understanding real numbers by computers using binary code, which uses approximations and conversions to represent numbers.In large and complex systems, these approximations can generate significant errors, a problem compounded by the way floating-point numbers are distributed among real numbers, even in a newer, more complex 64-bit format called a double floating point. precision.
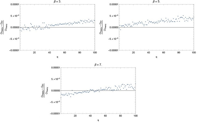
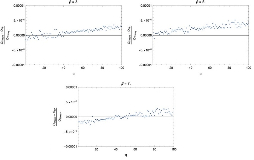
![]() |
| Graphs showing the relative errors of the floating calculation of a generalized Bernoulli map for values 3, 5 and 7. Credits: Bruce M. Boghosian et al. 2019 |
" We've long thought that rounding errors were not a problem, especially if we were using double-precision floating-point numbers - binary numbers using 64 bits instead of 32. But in our study, we put highlighting a problem due to the uneven distribution of fractions represented by floating-point numbers, and which is not likely to disappear simply by increasing the number of bits, "explains mathematician Bruce Boghosian, Tufts University.
An accumulation of errors, including in the simplest calculations
As part of the research, the team compared a known chaotic system called the Bernoulli map to a numerical computation of the same system and discovered what it calls systematic distortions and pathologies in the simulation of chaotic dynamical systems. Indeed, while Lorenz discovered his butterfly effect by leaving whole numbers in a calculation, the researchers found their own much more subtle equivalent by simply asking a computer to perform a mathematical calculation." For Lorenz, it's a very small change in the last few digits of the numbers used to start a simulation that provoked its divergent results. What neither he nor the others have understood, and which is highlighted in our new work, is that a finite (rational) initial condition describes a behavior that can be statistically highly unrepresentative, "says Coveney.
The researchers recognize that the Bernoulli map is a simple chaotic system that does not necessarily represent more complex dynamic models, but they warn that the insidious nature of their floating-point moth means that no scientist should neglect these risks.
| Bibliography: A New Pathology in the Simulation of Chaotic Dynamical Systems on Digital Computers Bruce M. Boghosian Peter V. Coveney Hongyan Wang First published: 23 September 2019 https://doi.org/10.1002/adts.201900125 |
Tags:
Mathematics


